<samp id="jw3b8"></samp>
  • <progress id="jw3b8"><bdo id="jw3b8"></bdo></progress>
      <menuitem id="jw3b8"><strong id="jw3b8"></strong></menuitem>
    1. <tbody id="jw3b8"></tbody>
      <progress id="jw3b8"></progress>
      <tbody id="jw3b8"></tbody>

    2. <progress id="jw3b8"><bdo id="jw3b8"></bdo></progress><progress id="jw3b8"></progress>
      1. <menuitem id="jw3b8"><strong id="jw3b8"></strong></menuitem>

        <menuitem id="jw3b8"><ins id="jw3b8"></ins></menuitem>
        <samp id="jw3b8"></samp>

        三思泰捷
        國家高新技術企業英文站收藏我們 網站地圖

        三思泰捷

        試驗機專業制造商

        全國服務熱線: 400-666-9399

        ?GB/T 5593電子元器件結構陶瓷材料抗折試驗

        作者: 來源: 發布日期: 2020.10.20
        信息摘要:
        ?GB/T 5593電子元器件結構陶瓷材料抗折試驗



        陶瓷材料,被廣泛應用于電子元器件領域,如裝置零件、電子管、電阻基體、半導體及集成電路等場合。國標GB/T 5593-1996就是關于電子元器件結構陶瓷材料的相關規定。其中,陶瓷材料有抗折強度的性能要求,其試驗數據通過試驗機來測量。

        測量陶瓷材料抗折強度時,支點間的距離應為5cm,負荷加載樣品中心,負荷增加的速度不大于39N/s,測量誤差不超過正負10%。

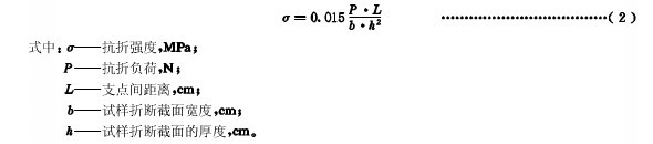
        抗折強度計算公式: 


        資訊中心

        推薦資訊
        激情五月网